
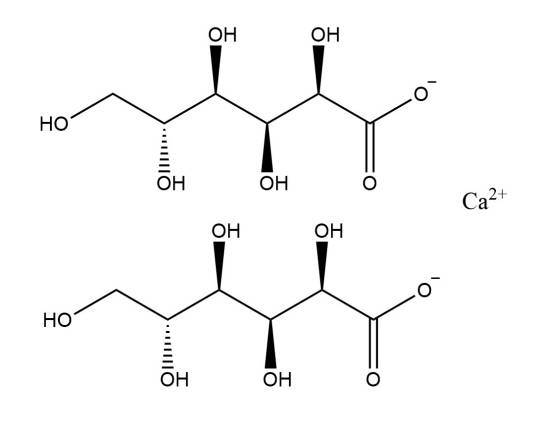
葡萄糖酸钙是一种有机钙盐,化学式为C12H22O14Ca,外观为白色结晶性或颗粒性粉末,熔点201℃(分解),无臭,无味,易溶于沸水(20g/100mL),略溶于冷水(3g/100mL,20℃),不溶于乙醇或乙醚等有机溶剂。水溶液显中性(pH约6-7)。葡萄糖酸钙主要用作食品的钙强化剂与营养剂、缓冲剂、固化剂、鳌合剂。
想要了解更多“葡萄糖酸钙”的信息,请点击:葡萄糖酸钙百科

葡萄糖酸钙是一种有机钙盐,化学式为C12H22O14Ca,外观为白色结晶性或颗粒性粉末,熔点201℃(分解),无臭,无味,易溶于沸水(20g/100mL),略溶于冷水(3g/100mL,20℃),不溶于乙醇或乙醚等有机溶剂。水溶液显中性(pH约6-7)。葡萄糖酸钙主要用作食品的钙强化剂与营养剂、缓冲剂、固化剂、鳌合剂。
想要了解更多“葡萄糖酸钙”的信息,请点击:葡萄糖酸钙百科