
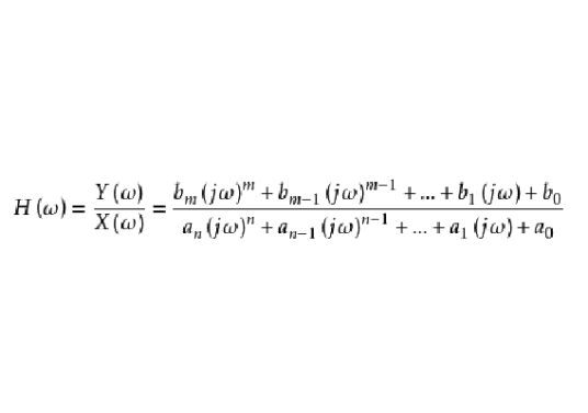
频率响应函数表征了测试系统对给定频率下的稳态输出与输入的关系。这个关系具体是指输出、输入幅值之比与输入频率的函数关系,和输出、输入相位差与输入频率的函数关系。这两个关系称为测试系统的频率特性。频率响应函数一般是一个复数。
频率响应函数直观地反映了测试系统对各个不同频率正弦输入信号的响应特性。通过频率响应函数可以画出反映测试系统动态特性的各种图形,简明直观。此外,很多工程中的实际系统很难确切地建立其数学模型,更不易确定其模型中的参数,因此要完整地列出其微分方程式并非易事。所以,工程上常通过实验方法,对系统施加激励,测量其响应,根据输入、输出关系可以确立对系统动态特性的认识。因而频率响应函数有着重要的实际意义。
想要了解更多“频率响应函数”的信息,请点击:频率响应函数百科
